ФотобусАвтобусный транспорт

Информация об изображении

491 КБ


Идентификатор изображения:2717143
Размер файла:491 КБ
Автор:Мои стримы
Опубликовано:12.09.2021 06:26 MSK
Находится на сайте, дней:1481
Уникальных просмотров:340
Комментариев:0

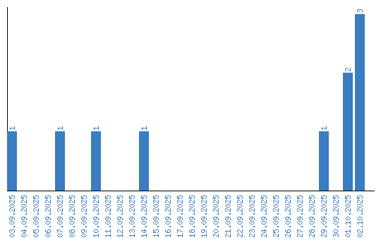
Динамика просмотров по датам