ФотобусАвтобусный транспорт

Информация об изображении

412 КБ


Идентификатор изображения:2694418
Размер файла:412 КБ
Автор:mixkol
Опубликовано:12.08.2021 11:17 MSK
Находится на сайте, дней:1545
Уникальных просмотров:224
Комментариев:0

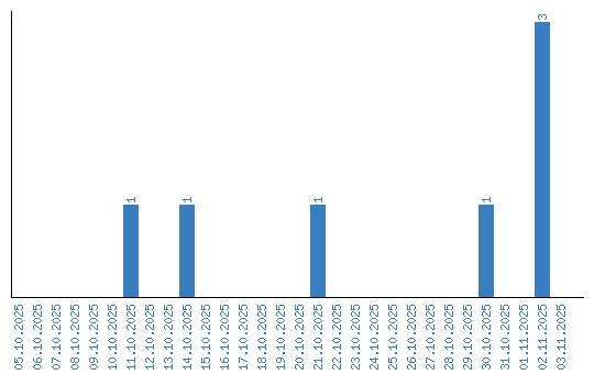
Динамика просмотров по датам