ФотобусАвтобусный транспорт

Информация об изображении

473 КБ


Идентификатор изображения:2674417
Размер файла:473 КБ
Автор:Valius Kedainietis
Опубликовано:15.07.2021 01:53 MSK
Находится на сайте, дней:1545
Уникальных просмотров:625
Комментариев:1

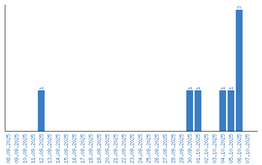
Динамика просмотров по датам