ФотобусАвтобусный транспорт

Информация об изображении

493 КБ


Идентификатор изображения:2649127
Размер файла:493 КБ
Автор:Андрей Воронцов
Опубликовано:06.06.2021 19:56 MSK
Находится на сайте, дней:1585
Уникальных просмотров:454
Комментариев:0

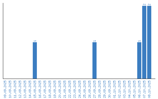
Динамика просмотров по датам