ФотобусАвтобусный транспорт

Информация об изображении

262 КБ


Идентификатор изображения:2567881
Размер файла:262 КБ
Автор:sarman
Опубликовано:30.01.2021 18:32 MSK
Находится на сайте, дней:1727
Уникальных просмотров:641
Комментариев:8

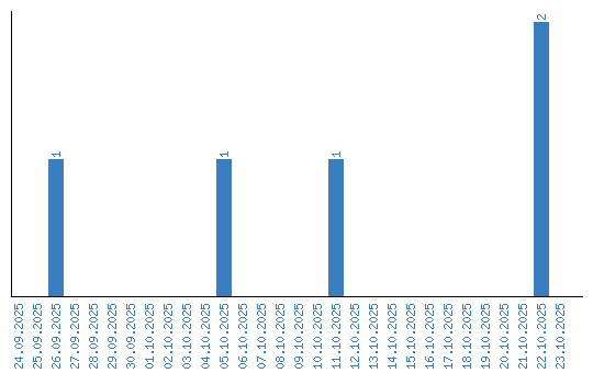
Динамика просмотров по датам