ФотобусАвтобусный транспорт

Информация об изображении

250 КБ


Идентификатор изображения:254360
Размер файла:250 КБ
Автор:Aртур
Опубликовано:25.04.2010 22:44 MSK
Находится на сайте, дней:5684
Уникальных просмотров:492
Комментариев:7

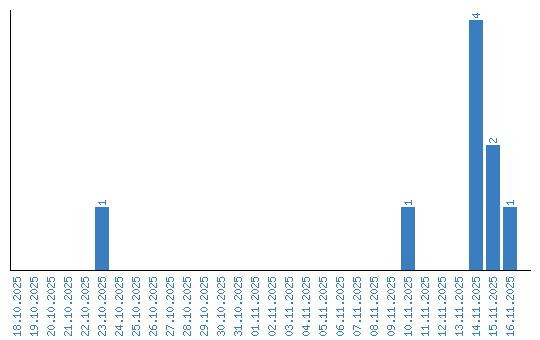
Динамика просмотров по датам