ФотобусАвтобусный транспорт

Информация об изображении

469 КБ


Идентификатор изображения:2518692
Размер файла:469 КБ
Автор:Bocius
Опубликовано:27.10.2020 01:02 MSK
Находится на сайте, дней:1847
Уникальных просмотров:530
Комментариев:0

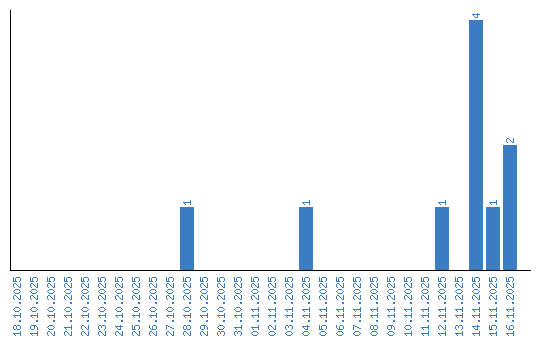
Динамика просмотров по датам