ФотобусАвтобусный транспорт

Информация об изображении

436 КБ


Идентификатор изображения:2478952
Размер файла:436 КБ
Автор:Ян Мухтаров
Опубликовано:23.08.2020 21:11 MSK
Находится на сайте, дней:1872
Уникальных просмотров:280
Комментариев:0

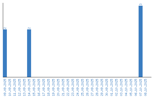
Динамика просмотров по датам