ФотобусАвтобусный транспорт

Информация об изображении

646 КБ


Идентификатор изображения:2474522
Размер файла:646 КБ
Автор:Андрей Аристов
Опубликовано:16.08.2020 20:41 MSK
Находится на сайте, дней:1905
Уникальных просмотров:615
Комментариев:2

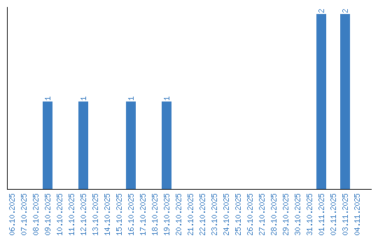
Динамика просмотров по датам