ФотобусАвтобусный транспорт

Информация об изображении

443 КБ


Идентификатор изображения:2403312
Размер файла:443 КБ
Автор:Дмитрий Кояш
Опубликовано:25.04.2020 20:46 MSK
Находится на сайте, дней:2024
Уникальных просмотров:285
Комментариев:0

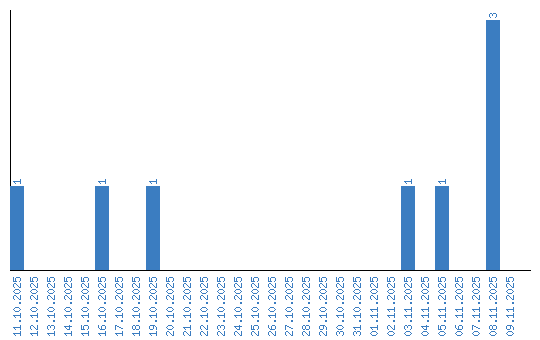
Динамика просмотров по датам