ФотобусАвтобусный транспорт

Информация об изображении

403 КБ


Идентификатор изображения:2378231
Размер файла:403 КБ
Автор:kda1981
Опубликовано:14.03.2020 07:32 MSK
Находится на сайте, дней:2069
Уникальных просмотров:314
Комментариев:0

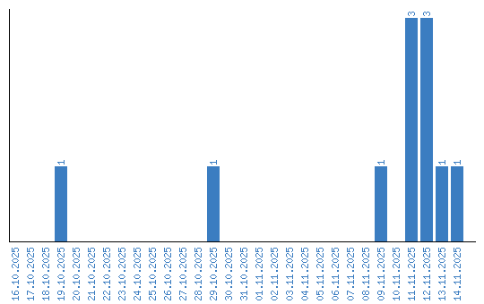
Динамика просмотров по датам