ФотобусАвтобусный транспорт

Информация об изображении

458 КБ


Идентификатор изображения:2354003
Размер файла:458 КБ
Автор:A R
Опубликовано:02.02.2020 20:22 MSK
Находится на сайте, дней:2105
Уникальных просмотров:324
Комментариев:0

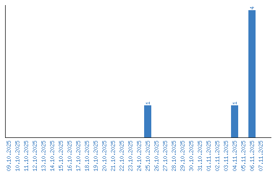
Динамика просмотров по датам