ФотобусАвтобусный транспорт

Информация об изображении

485 КБ


Идентификатор изображения:2335036
Размер файла:485 КБ
Автор:Yozhik_NN
Опубликовано:14.12.2019 23:00 MSK
Находится на сайте, дней:2128
Уникальных просмотров:377
Комментариев:1

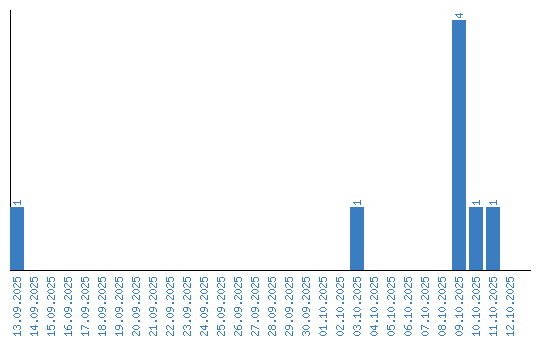
Динамика просмотров по датам