ФотобусАвтобусный транспорт

Информация об изображении

492 КБ


Идентификатор изображения:2309013
Размер файла:492 КБ
Автор:Илья С.
Опубликовано:25.10.2019 06:59 MSK
Находится на сайте, дней:2218
Уникальных просмотров:188
Комментариев:0

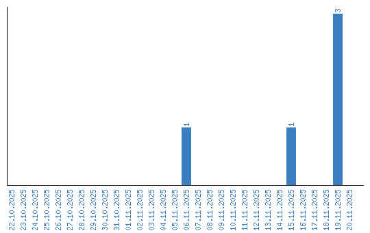
Динамика просмотров по датам