ФотобусАвтобусный транспорт

Информация об изображении

481 КБ


Идентификатор изображения:2300493
Размер файла:481 КБ
Автор:Rai
Опубликовано:12.10.2019 06:15 MSK
Находится на сайте, дней:2191
Уникальных просмотров:224
Комментариев:0

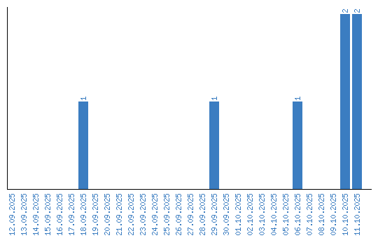
Динамика просмотров по датам