ФотобусАвтобусный транспорт

Информация об изображении

429 КБ


Идентификатор изображения:2264425
Размер файла:429 КБ
Автор:Yozhik_NN
Опубликовано:19.08.2019 18:47 MSK
Находится на сайте, дней:2262
Уникальных просмотров:285
Комментариев:0

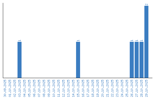
Динамика просмотров по датам