ФотобусАвтобусный транспорт

Информация об изображении

473 КБ


Идентификатор изображения:2251093
Размер файла:473 КБ
Автор:rytis001
Опубликовано:01.08.2019 23:32 MSK
Находится на сайте, дней:2302
Уникальных просмотров:534
Комментариев:0

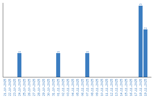
Динамика просмотров по датам