ФотобусАвтобусный транспорт

Информация об изображении

256 КБ


Идентификатор изображения:2244684
Размер файла:256 КБ
Автор:Мария Алексеева
Опубликовано:24.07.2019 04:00 MSK
Находится на сайте, дней:2280
Уникальных просмотров:377
Комментариев:0

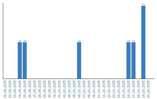
Динамика просмотров по датам