ФотобусАвтобусный транспорт

Информация об изображении

340 КБ


Идентификатор изображения:2229194
Размер файла:340 КБ
Автор:WEST
Опубликовано:01.07.2019 08:18 MSK
Находится на сайте, дней:2294
Уникальных просмотров:183
Комментариев:0

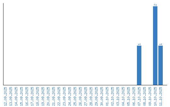
Динамика просмотров по датам