ФотобусАвтобусный транспорт

Информация об изображении

395 КБ


Идентификатор изображения:2193181
Размер файла:395 КБ
Автор:STS
Опубликовано:11.05.2019 23:36 MSK
Находится на сайте, дней:2371
Уникальных просмотров:581
Комментариев:0

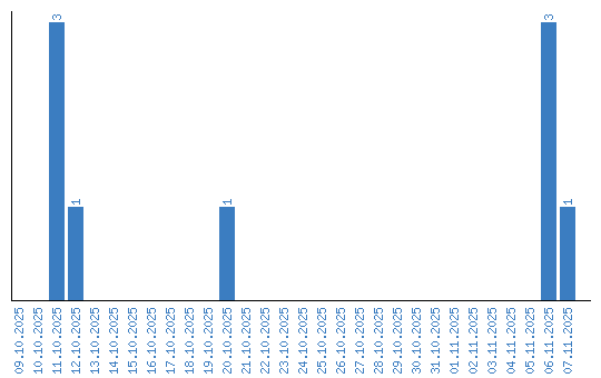
Динамика просмотров по датам