ФотобусАвтобусный транспорт

Информация об изображении

154 КБ


Идентификатор изображения:217661
Размер файла:154 КБ
Автор:Исайченков Валерий
Опубликовано:04.02.2010 20:41 MSK
Находится на сайте, дней:5761
Уникальных просмотров:499
Комментариев:0

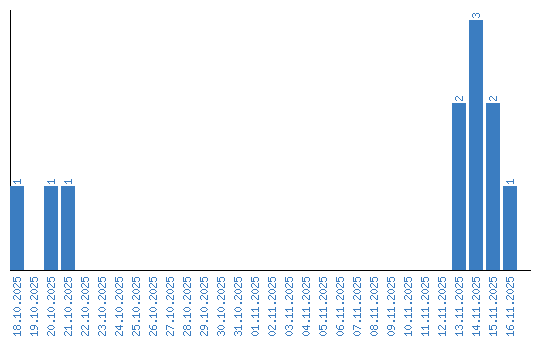
Динамика просмотров по датам