ФотобусАвтобусный транспорт

Информация об изображении

336 КБ


Идентификатор изображения:2175839
Размер файла:336 КБ
Автор:ariss_ka
Опубликовано:23.04.2019 13:43 MSK
Находится на сайте, дней:2379
Уникальных просмотров:278
Комментариев:0

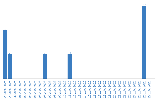
Динамика просмотров по датам