ФотобусАвтобусный транспорт

Информация об изображении

271 КБ


Идентификатор изображения:2173398
Размер файла:271 КБ
Автор:Джесси
Опубликовано:20.04.2019 22:40 MSK
Находится на сайте, дней:2377
Уникальных просмотров:976
Комментариев:0

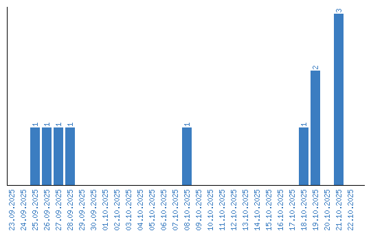
Динамика просмотров по датам