ФотобусАвтобусный транспорт

Информация об изображении

344 КБ


Идентификатор изображения:2105217
Размер файла:344 КБ
Автор:max48lip
Опубликовано:28.12.2018 18:38 MSK
Находится на сайте, дней:2479
Уникальных просмотров:418
Комментариев:0

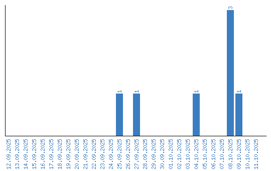
Динамика просмотров по датам