ФотобусАвтобусный транспорт

Информация об изображении

174 КБ


Идентификатор изображения:2093867
Размер файла:174 КБ
Автор:reflex
Опубликовано:10.12.2018 00:33 MSK
Находится на сайте, дней:2524
Уникальных просмотров:417
Комментариев:0

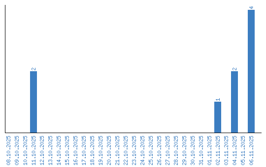
Динамика просмотров по датам