ФотобусАвтобусный транспорт

Информация об изображении

336 КБ


Идентификатор изображения:2042225
Размер файла:336 КБ
Автор:Grenadier_Thomas
Опубликовано:31.08.2018 00:18 MSK
Находится на сайте, дней:2597
Уникальных просмотров:160
Комментариев:0

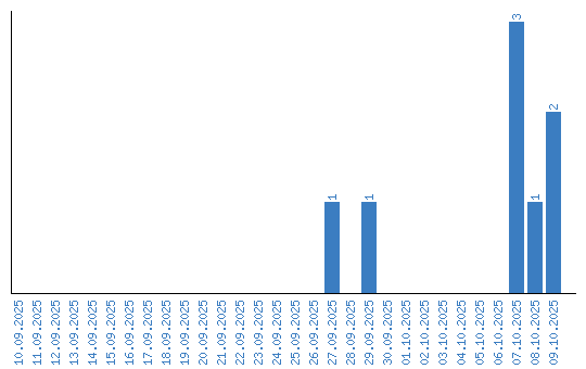
Динамика просмотров по датам