ФотобусАвтобусный транспорт

Информация об изображении

123 КБ


Идентификатор изображения:202812
Размер файла:123 КБ
Автор:pe100v
Опубликовано:01.01.2010 19:15 MSK
Находится на сайте, дней:5758
Уникальных просмотров:445
Комментариев:0

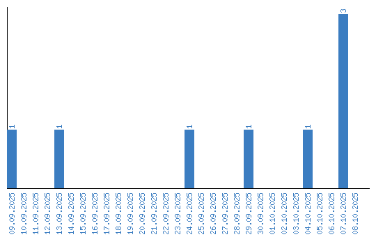
Динамика просмотров по датам