ФотобусАвтобусный транспорт

Информация об изображении

248 КБ


Идентификатор изображения:1957255
Размер файла:248 КБ
Автор:43RUS
Опубликовано:21.04.2018 19:45 MSK
Находится на сайте, дней:2729
Уникальных просмотров:265
Комментариев:0

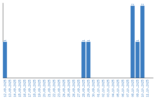
Динамика просмотров по датам