ФотобусАвтобусный транспорт

Информация об изображении

343 КБ


Идентификатор изображения:1945093
Размер файла:343 КБ
Автор:Mettal
Опубликовано:01.04.2018 15:45 MSK
Находится на сайте, дней:2746
Уникальных просмотров:664
Комментариев:0

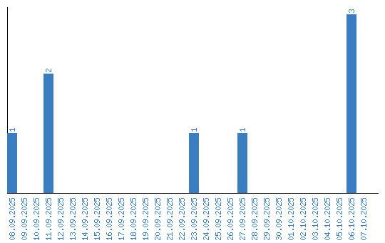
Динамика просмотров по датам