ФотобусАвтобусный транспорт

Информация об изображении

209 КБ


Идентификатор изображения:193032
Размер файла:209 КБ
Автор:ALX
Опубликовано:04.12.2009 23:53 MSK
Находится на сайте, дней:5787
Уникальных просмотров:846
Комментариев:3

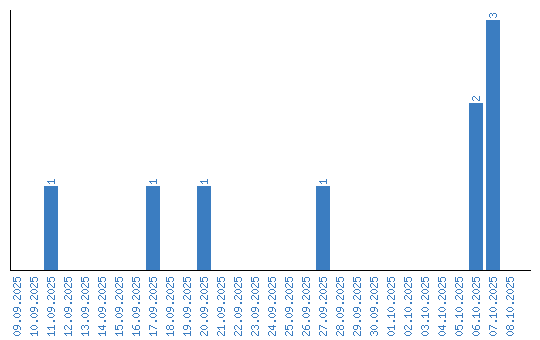
Динамика просмотров по датам