ФотобусАвтобусный транспорт

Информация об изображении

345 КБ


Идентификатор изображения:1927714
Размер файла:345 КБ
Автор:Водитель Вездехода
Опубликовано:04.03.2018 13:39 MSK
Находится на сайте, дней:2785
Уникальных просмотров:521
Комментариев:0

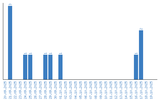
Динамика просмотров по датам