ФотобусАвтобусный транспорт

Информация об изображении

307 КБ


Идентификатор изображения:1921312
Размер файла:307 КБ
Автор:Grenadier_Thomas
Опубликовано:21.02.2018 21:35 MSK
Находится на сайте, дней:2786
Уникальных просмотров:454
Комментариев:0

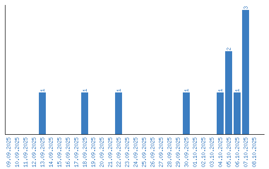
Динамика просмотров по датам