ФотобусАвтобусный транспорт

Информация об изображении

301 КБ


Идентификатор изображения:1907481
Размер файла:301 КБ
Автор:Вальдир
Опубликовано:28.01.2018 18:20 MSK
Находится на сайте, дней:2838
Уникальных просмотров:726
Комментариев:0

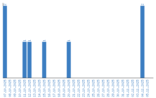
Динамика просмотров по датам