ФотобусАвтобусный транспорт

Информация об изображении

290 КБ


Идентификатор изображения:1870687
Размер файла:290 КБ
Автор:Вечный Ёж
Опубликовано:19.11.2017 20:14 MSK
Находится на сайте, дней:2879
Уникальных просмотров:155
Комментариев:0

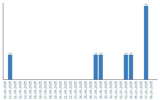
Динамика просмотров по датам