ФотобусАвтобусный транспорт

Информация об изображении

401 КБ


Идентификатор изображения:1816632
Размер файла:401 КБ
Автор:Марцуль Павел
Опубликовано:01.09.2017 23:54 MSK
Находится на сайте, дней:2959
Уникальных просмотров:619
Комментариев:0

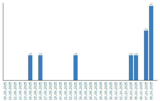
Динамика просмотров по датам