ФотобусАвтобусный транспорт

Информация об изображении

345 КБ


Идентификатор изображения:1773937
Размер файла:345 КБ
Автор:Олег Н.
Опубликовано:21.06.2017 23:08 MSK
Находится на сайте, дней:3036
Уникальных просмотров:220
Комментариев:0

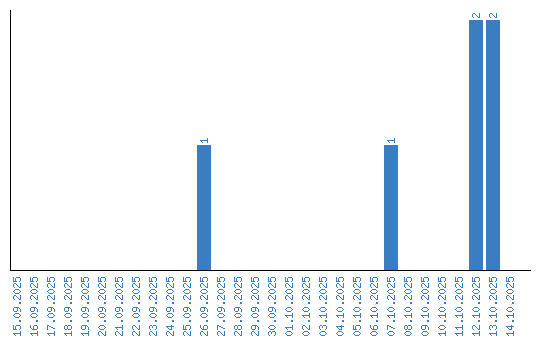
Динамика просмотров по датам