ФотобусАвтобусный транспорт

Информация об изображении

311 КБ


Идентификатор изображения:1767712
Размер файла:311 КБ
Автор:Алексей 57
Опубликовано:11.06.2017 22:55 MSK
Находится на сайте, дней:3041
Уникальных просмотров:343
Комментариев:0

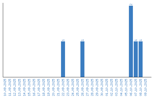
Динамика просмотров по датам