ФотобусАвтобусный транспорт

Информация об изображении

311 КБ


Идентификатор изображения:1699661
Размер файла:311 КБ
Автор:ALX
Опубликовано:19.02.2017 20:18 MSK
Находится на сайте, дней:3180
Уникальных просмотров:217
Комментариев:0

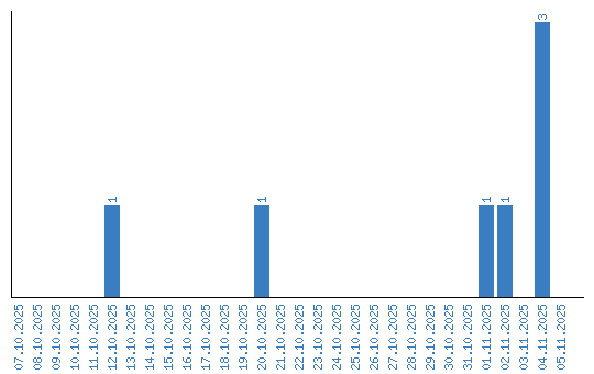
Динамика просмотров по датам