ФотобусАвтобусный транспорт

Информация об изображении

332 КБ


Идентификатор изображения:1696015
Размер файла:332 КБ
Автор:alextown
Опубликовано:12.02.2017 19:07 MSK
Находится на сайте, дней:3161
Уникальных просмотров:162
Комментариев:0

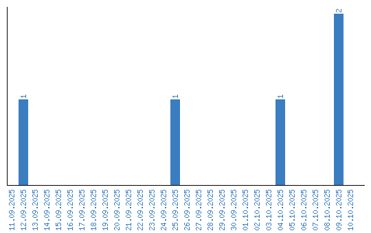
Динамика просмотров по датам