ФотобусАвтобусный транспорт

Информация об изображении

343 КБ


Идентификатор изображения:1689085
Размер файла:343 КБ
Автор:Александров Николай
Опубликовано:30.01.2017 11:31 MSK
Находится на сайте, дней:3173
Уникальных просмотров:174
Комментариев:0

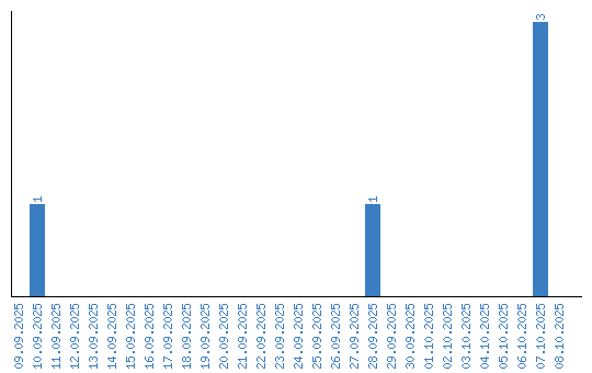
Динамика просмотров по датам