ФотобусАвтобусный транспорт

Информация об изображении

276 КБ


Идентификатор изображения:1631937
Размер файла:276 КБ
Автор:Cедой
Опубликовано:06.10.2016 07:45 MSK
Находится на сайте, дней:3288
Уникальных просмотров:383
Комментариев:0

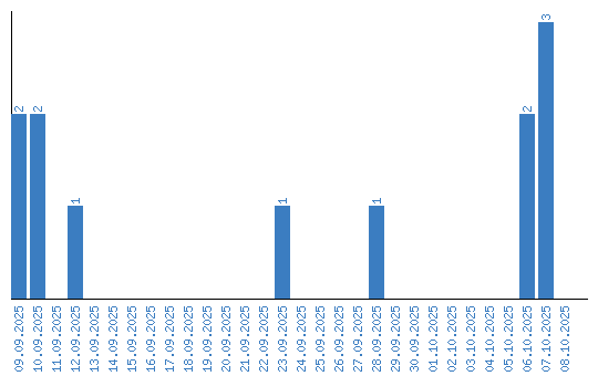
Динамика просмотров по датам