ФотобусАвтобусный транспорт

Информация об изображении

343 КБ


Идентификатор изображения:1615407
Размер файла:343 КБ
Автор:Alenov
Опубликовано:05.09.2016 11:51 MSK
Находится на сайте, дней:3324
Уникальных просмотров:285
Комментариев:0

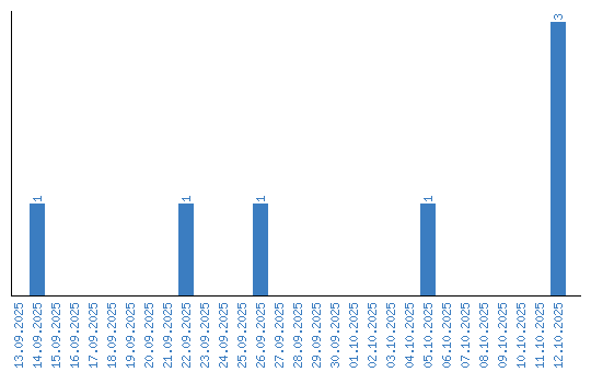
Динамика просмотров по датам