ФотобусАвтобусный транспорт

Информация об изображении

314 КБ


Идентификатор изображения:1595990
Размер файла:314 КБ
Автор:Белов Александр
Опубликовано:01.08.2016 10:42 MSK
Находится на сайте, дней:3381
Уникальных просмотров:295
Комментариев:0

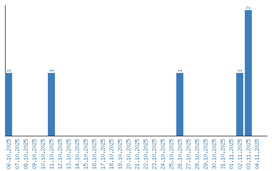
Динамика просмотров по датам