ФотобусАвтобусный транспорт

Информация об изображении

216 КБ


Идентификатор изображения:159097
Размер файла:216 КБ
Автор:ariss_ka
Опубликовано:12.09.2009 13:18 MSK
Находится на сайте, дней:5880
Уникальных просмотров:499
Комментариев:3

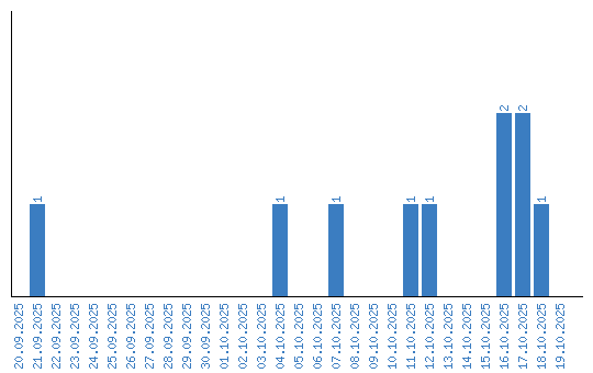
Динамика просмотров по датам