ФотобусАвтобусный транспорт

Информация об изображении

300 КБ


Идентификатор изображения:1578899
Размер файла:300 КБ
Автор:Grenadier_Thomas
Опубликовано:06.07.2016 22:54 MSK
Находится на сайте, дней:3384
Уникальных просмотров:357
Комментариев:0

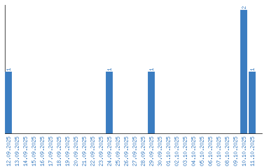
Динамика просмотров по датам