ФотобусАвтобусный транспорт

Информация об изображении

346 КБ


Идентификатор изображения:1570266
Размер файла:346 КБ
Автор:Александров Николай
Опубликовано:22.06.2016 07:15 MSK
Находится на сайте, дней:3396
Уникальных просмотров:212
Комментариев:0

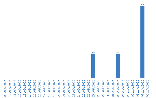
Динамика просмотров по датам