ФотобусАвтобусный транспорт

Информация об изображении

327 КБ


Идентификатор изображения:1557697
Размер файла:327 КБ
Автор:dielektrik
Опубликовано:31.05.2016 16:28 MSK
Находится на сайте, дней:3440
Уникальных просмотров:278
Комментариев:0

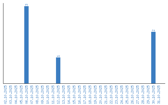
Динамика просмотров по датам