ФотобусАвтобусный транспорт

Информация об изображении

343 КБ


Идентификатор изображения:1458233
Размер файла:343 КБ
Автор:Александров Николай
Опубликовано:06.11.2015 21:11 MSK
Находится на сайте, дней:3626
Уникальных просмотров:315
Комментариев:0

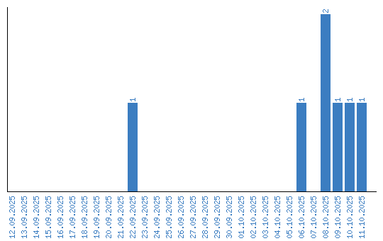
Динамика просмотров по датам