ФотобусАвтобусный транспорт

Информация об изображении

332 КБ


Идентификатор изображения:1425521
Размер файла:332 КБ
Автор:alextown
Опубликовано:07.09.2015 23:40 MSK
Находится на сайте, дней:3726
Уникальных просмотров:241
Комментариев:0

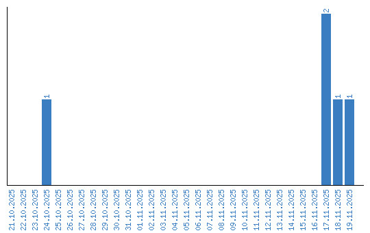
Динамика просмотров по датам