ФотобусАвтобусный транспорт

Информация об изображении

309 КБ


Идентификатор изображения:1205579
Размер файла:309 КБ
Автор:Mark_24
Опубликовано:13.09.2014 23:55 MSK
Находится на сайте, дней:4042
Уникальных просмотров:241
Комментариев:0

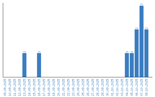
Динамика просмотров по датам